X
IMG
VIDEO

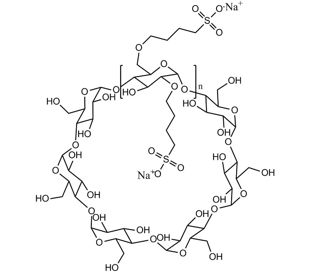
SBE-β-CD Sulfobutylether Beta Cyclodextrin โซเดียมสารเพิ่มปริมาณทางเภสัชกรรมแบบฉีด

ขายส่ง SBE-β-CD Sulfobutylether Beta Cyclodextrin Sodium Injectable Pharmaceutical Excipient ผลิตในประเทศจีนจาก DELI SBE-β-CD (Sulfobutylether Beta Cyclodextrin Sodium) เป็นสารเพิ่มปริมาณทางเภสัชกรรมแบบฉีดที่ละลายน้ำได้สูง ซึ่งใช้เพื่อเพิ่มความสามารถในการละลาย ความคงตัว และความปลอดภัยของ API ที่ละลายได้ต่ำผ่านการสร้างที่ซับซ้อนแบบย้อนกลับได้

ส่งคำถาม

รายละเอียดสินค้า


SBE-β-CD Sulfobutylether Beta Cyclodextrin โซเดียมสารเพิ่มปริมาณทางเภสัชกรรมแบบฉีด

SBE-β-CD (Sulfobutylether Beta Cyclodextrin Sodium) เป็นอนุพันธ์ β-cyclodextrin แบบประจุลบที่ละลายน้ำได้สูง ซึ่งออกแบบมาเพื่อการใช้งานทางเภสัชกรรมแบบฉีด มันสร้างสารเชิงซ้อนการรวมที่ไม่ใช่โควาเลนต์ที่เสถียรด้วยส่วนผสมออกฤทธิ์ทางเภสัชกรรม (API) ซึ่งปรับปรุงความสามารถในการละลาย ความคงตัว และความปลอดภัยของยาที่ละลายน้ำได้ต่ำอย่างมีนัยสำคัญ

เนื่องจากความเข้ากันได้ทางชีวภาพที่ดีเยี่ยม ฤทธิ์ของเม็ดเลือดแดงแตกต่ำ และโปรไฟล์ความเป็นพิษที่ควบคุมได้ SBE-β-CD จึงถูกนำมาใช้กันอย่างแพร่หลายในระบบการนำส่งยาทางหลอดเลือดดำในพื้นที่การรักษาที่หลากหลาย


ประโยชน์ที่สำคัญ


SBE-β-CD เพิ่มความสามารถในการละลายในน้ำของ API ที่ไม่ชอบน้ำในขณะเดียวกันก็รักษาความปลอดภัยของสูตรผสม เมื่อเปรียบเทียบกับสารช่วยละลายแบบดั้งเดิม จะพบว่ามีความเป็นพิษต่อไตลดลงและการระคายเคืองบริเวณที่ฉีดลดลง ทำให้เหมาะสำหรับการให้ยาทางหลอดเลือดดำซ้ำๆ


การใช้งานทางเภสัชกรรม


SBE-β-CD ถูกใช้เป็นหลักในสูตรผสมที่ฉีดได้และปลอดเชื้อซึ่งรวมถึงรูปแบบขนาดการใช้ในหลอดเลือดดำ, ในกล้ามเนื้อและใต้ผิวหนัง โดยทั่วไปจะใช้ในผลิตภัณฑ์ต้านไวรัส ต้านเชื้อรา เนื้องอกวิทยา และผลิตภัณฑ์ยารักษาโรคหัวใจและหลอดเลือด ซึ่งความสามารถในการละลายสูงและความคงตัวของสูตรเป็นสิ่งสำคัญ


ข้อมูลจำเพาะของผลิตภัณฑ์


ชื่อสารเคมี ซัลโฟบิวทิลอีเทอร์ เบต้า ไซโคลเด็กซ์ตริน โซเดียม
หมายเลข CAS 182410-00-0
รูปร่าง สีขาวเป็นผงอสัณฐานสีขาวนวล
ระดับ สารเพิ่มปริมาณทางเภสัชกรรมแบบฉีดได้
ความสามารถในการละลาย ละลายได้อย่างอิสระในน้ำ
การทดสอบ 95.0% – 105.0% (พื้นฐานปราศจากน้ำ)
ระดับการทดแทนโดยเฉลี่ย (DS) 6.2 – 6.9
แบคทีเรียเอนโดท็อกซิน ≤ 10 EU/กรัม
มาตรฐาน USP/อีพี
อายุการเก็บรักษา 36 เดือน


ข้อมูลจำเพาะของบรรจุภัณฑ์


ตัวเลือกบรรจุภัณฑ์ที่มีจำหน่าย ได้แก่ 500 กรัม/ถุง, 1 กก./ถุง, 10 กก./ถุง และ 10 กก./กลอง บรรจุภัณฑ์แบบกำหนดเองสามารถขอได้สำหรับการจัดหาเชิงพาณิชย์


การประกันคุณภาพ


SBE-β-CD ทุกชุดผลิตภายใต้ระบบการจัดการคุณภาพที่เข้มงวด และผ่านการทดสอบเชิงวิเคราะห์ที่ครอบคลุม พารามิเตอร์คุณภาพที่สำคัญ เช่น สิ่งเจือปน เอนโดทอกซิน ระดับการทดแทน และความสม่ำเสมอของแบทช์ต่อแบทช์ได้รับการควบคุมอย่างเข้มงวด

การจัดส่งแต่ละครั้งจะมาพร้อมกับใบรับรองการวิเคราะห์ (COA) เพื่อให้มั่นใจว่าสามารถตรวจสอบย้อนกลับได้อย่างสมบูรณ์และปฏิบัติตามกฎระเบียบ


คุณสมบัติของบริษัทและการรับรอง


Xi'an Deli Biochemical Industry Co., Ltd. เป็นองค์กรเทคโนโลยีขั้นสูงที่เชี่ยวชาญด้านการวิจัย การพัฒนา และการผลิตไซโคลเดกซ์ทรินและอนุพันธ์ของไซโคลเดกซ์ทริน ก่อตั้งขึ้นในปี 1999 บริษัทมีประสบการณ์ในอุตสาหกรรมมากกว่า 26 ปี

บริษัทดำเนินการสายการผลิตสารเพิ่มปริมาณยาโดยเฉพาะพร้อมควบคุมพื้นที่การผลิตที่สะอาด ระบบการจัดการคุณภาพผ่านการรับรองมาตรฐาน ISO 9001 และผลิตภัณฑ์หลักได้รับการจดทะเบียนหรือยื่นต่อหน่วยงานกำกับดูแลที่เกี่ยวข้อง รวมถึง FDA


ความสามารถในการผลิต


Xi'an Deli Biochemical ได้สร้างกำลังการผลิตเชิงพาณิชย์ขนาดใหญ่สำหรับ SBE-β-CD เพื่อให้มั่นใจในการจัดหาที่เชื่อถือได้ในระยะยาวสำหรับลูกค้ายาทั่วโลก

กำลังการผลิตต่อปีเกิน 200 เมตริกตัน โดยมีขนาดการผลิตทั่วไปประมาณ 2.5 เมตริกตัน


คำถามที่พบบ่อย

คำถามที่ 1: หน้าที่หลักของ SBE-β-CD ในสูตรผสมแบบฉีดคืออะไร?
ตอบ: SBE-β-CD ทำหน้าที่เป็นตัวช่วยละลายและความคงตัวเป็นหลัก โดยปรับปรุงความสามารถในการละลายในน้ำและความปลอดภัยของ API ที่ละลายน้ำได้ต่ำผ่านการสร้างที่ซับซ้อนของการรวมตัวแบบผันกลับได้


คำถามที่ 2: SBE-β-CD เหมาะสำหรับการให้ยาทางหลอดเลือดดำซ้ำหรือไม่
ก. ใช่. SBE-β-CD แสดงให้เห็นการออกฤทธิ์ของเม็ดเลือดแดงแตกต่ำและความเป็นพิษต่อไตลดลงเมื่อเปรียบเทียบกับสารช่วยละลายแบบดั้งเดิม ซึ่งทำให้เหมาะสำหรับการใช้ทางหลอดเลือดดำซ้ำๆ


คำถามที่ 3: ผลิตภัณฑ์ของคุณเป็นไปตามมาตรฐานทางเภสัชกรรมหรือไม่?
ตอบ: SBE-β-CD ของเราเป็นไปตามข้อกำหนด USP และ EP และผลิตภายใต้ระบบการจัดการคุณภาพที่ได้รับการรับรอง


คำถามที่ 4: สามารถจัดเตรียมเอกสารทางเทคนิคได้หรือไม่
ก. ใช่. COA ข้อมูลจำเพาะ และข้อมูลทางเทคนิคสามารถขอได้ตามคำขอ



แท็กยอดนิยม: SBE-β-CD Sulfobutylether Beta Cyclodextrin Sodium Injectable Pharmaceutical Excipient, ผู้ผลิต, ซัพพลายเออร์, จีน, โรงงาน, จำนวนมาก, ตัวอย่างฟรี, ผลิตในประเทศจีน, ในสต็อก, ขายส่ง, ซื้อ

หมวดหมู่ที่เกี่ยวข้อง

ส่งคำถาม

โปรดส่งคำถามของคุณในแบบฟอร์มด้านล่าง เราจะตอบกลับคุณภายใน 24 ชั่วโมง
icon
X
เราใช้คุกกี้เพื่อมอบประสบการณ์การท่องเว็บที่ดีขึ้น วิเคราะห์การเข้าชมไซต์ และปรับแต่งเนื้อหาในแบบของคุณ การใช้ไซต์นี้แสดงว่าคุณยอมรับการใช้คุกกี้ของเรา นโยบายความเป็นส่วนตัว
ปฏิเสธ ยอมรับ