ข่าวอุตสาหกรรม

สารละลายที่ใช้ไซโคลเดกซ์ทรินเพื่อเพิ่มความสามารถในการละลายและความเสถียร

สารละลายที่ใช้ไซโคลเดกซ์ทรินเพื่อเพิ่มความสามารถในการละลายและความเสถียร

ภาพรวมทางเทคนิคของ Hydroxypropyl Betadex และ Betadex Sulfobutyl Ether Sodium

ไซโคลเดกซ์ทรินได้รับการยอมรับอย่างกว้างขวางถึงความสามารถในการปรับปรุงความสามารถในการละลายและความคงตัวของสารประกอบที่ละลายน้ำได้ไม่ดีหรือมีความไวต่อสารเคมี เนื่องจากโครงสร้างโมเลกุลแบบไซคลิกที่เป็นเอกลักษณ์ ไซโคลเดกซ์ทรินและอนุพันธ์ของไซโคลเดกซ์ทรินจึงกลายเป็นส่วนเพิ่มปริมาณเชิงหน้าที่ที่สำคัญในสาขาเภสัชกรรม เคมี และการกำหนดสูตรที่เกี่ยวข้อง เพื่อตอบสนองต่อข้อกำหนดด้านเทคนิคและกฎระเบียบที่เพิ่มขึ้น Xi'an Deli Biochemical ได้ปรับปรุงเอกสารทางเทคนิคและการสนับสนุนผลิตภัณฑ์เพิ่มเติมสำหรับอนุพันธ์ไซโคลเดกซ์ทรินที่สำคัญ:ไฮดรอกซีโพรพิลเบตาเด็กซ์ (HPBCD) และเบตาเด็กซ์ซัลโฟบิวทิลอีเทอร์โซเดียม (SBECD)


ลักษณะโครงสร้างและสมรรถนะการทำงานของไซโคลเดกซ์ทริน

ไซโคลเดกซ์ทรินเป็นโอลิโกแซ็กคาไรด์แบบไซคลิกที่ประกอบด้วยหน่วยกลูโคสที่เชื่อมโยงกันด้วยพันธะไกลโคซิดิก α-1,4 สถาปัตยกรรมโมเลกุลของพวกมันมีพื้นผิวด้านนอกที่ชอบน้ำและโพรงภายในที่ค่อนข้างไม่ชอบน้ำ ทำให้เกิดการก่อตัวของสารเชิงซ้อนที่รวมเข้ากับโมเลกุลของแขกที่หลากหลาย การดัดแปลงทางเคมีของโครงสร้างไซโคลเดกซ์ทรินสามารถเพิ่มความสามารถในการละลายน้ำได้อย่างมาก และเพิ่มความหลากหลายในการใช้งาน


ไฮดรอกซีโพรพิล เบตาเด็กซ์ (HPBCD)


ไฮดรอกซีโพรพิล เบตาเด็กซ์เป็นเบต้า-ไซโคลเด็กซ์ตรินดัดแปลงทางเคมี ซึ่งออกแบบมาเพื่อเอาชนะความสามารถในการละลายที่จำกัดของไซโคลเดกซ์ทรินดั้งเดิม ความสามารถในการละลายน้ำที่เพิ่มขึ้นและความเข้ากันได้ดีทำให้ HPBCD เหมาะสำหรับการใช้งานที่ต้องการการละลายที่มีประสิทธิภาพ การทำให้คงตัว และความยืดหยุ่นในการกำหนดสูตรในระบบที่หลากหลาย


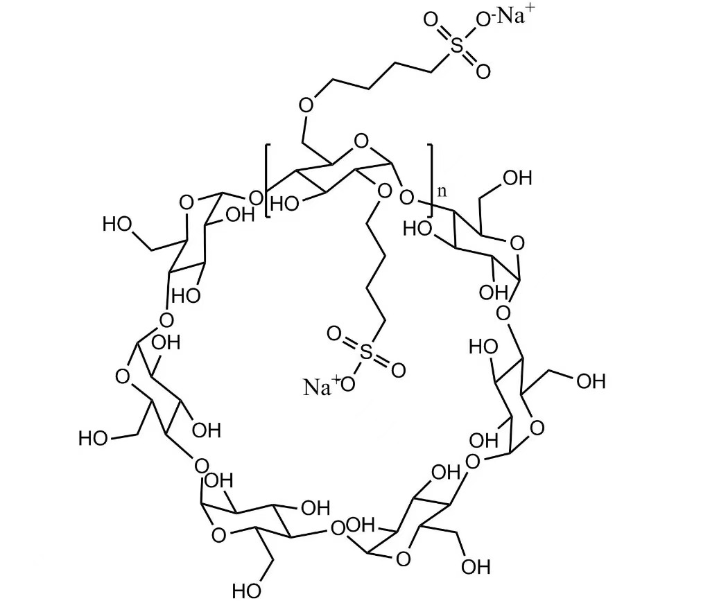
เบตาเด็กซ์ ซัลโฟบิวทิล อีเทอร์ โซเดียม (SBECD)


Betadex sulfobutyl ether Sodium เป็นอนุพันธ์ของไซโคลเดกซ์ทรินประจุลบซึ่งมีคุณลักษณะพิเศษโดยมีส่วนประกอบย่อยของ sulfobutyl ether โครงสร้างนี้ช่วยเพิ่มปฏิกิริยาระหว่างไฟฟ้าสถิตกับสารประกอบจำเพาะ รองรับความสามารถในการละลายที่ดีขึ้น ความเสถียรที่ซับซ้อน และความทนทานของสูตรผสมในการใช้งานที่มีความต้องการมากขึ้น

ข้อมูลผลิตภัณฑ์ที่ได้มาตรฐานและการสนับสนุนทางเทคนิค

เพื่อสนับสนุนการพัฒนาสูตร การประเมินคุณภาพ และกระบวนการจัดซื้อที่ดียิ่งขึ้น Xi'an Deli Biochemical ได้อัปเดตข้อมูลผลิตภัณฑ์อย่างเป็นระบบสำหรับ HPBCD และ SBECD ซึ่งรวมถึง:


  • ข้อมูลจำเพาะของผลิตภัณฑ์และพารามิเตอร์การวิเคราะห์ที่กำหนดไว้อย่างชัดเจนและเป็นมาตรฐาน
  • ใบรับรองการวิเคราะห์เฉพาะชุด (COA) เพื่อให้มั่นใจในการตรวจสอบย้อนกลับและการตรวจสอบคุณภาพ
  • คำถามที่พบบ่อยทางเทคนิคเพิ่มเติมเกี่ยวกับการจัดการ การจัดเก็บ และข้อควรพิจารณาในการใช้งานทั่วไป
  • สรุปผลิตภัณฑ์ที่ได้รับการปรับปรุงให้เหมาะสมซึ่งออกแบบมาเพื่ออำนวยความสะดวกในการทบทวนและคัดเลือกทางเทคนิคอย่างมีประสิทธิภาพ


การปรับปรุงเหล่านี้มีจุดมุ่งหมายเพื่อเพิ่มความโปร่งใส ลดระยะเวลาการประเมิน และสนับสนุนประสิทธิภาพของผลิตภัณฑ์ที่สอดคล้องกันตลอดวงจรการจัดหา


ประสบการณ์การผลิตและการประกันคุณภาพ

Xi'an Deli Biochemical ก่อตั้งขึ้นในปี 1999 โดยนำประสบการณ์ 26 ปีในการผลิตอนุพันธ์ไซโคลเด็กซ์ตริน บริษัทมุ่งเน้นไปที่การผลิตที่มีการควบคุมของไฮดรอกซีโพรพิล เบตาเด็กซ์ และเบทาเด็กซ์ ซัลโฟบิวทิล อีเทอร์ โซเดียม โดยเน้นที่ความสม่ำเสมอของกระบวนการ ความน่าเชื่อถือแบบแบทช์ต่อแบทช์ และความมั่นคงในการจัดหาในระยะยาว แนวทางปฏิบัติในการจัดการคุณภาพที่มีโครงสร้างสนับสนุนข้อกำหนดด้านเทคนิค กฎระเบียบ และการจัดหาของลูกค้า


ขอบเขตการสมัครและความร่วมมือทางเทคนิค

ตามกลไกการรวมเข้าและการทำให้คงตัวของไซโคลเดกซ์ทริน HPBCD และ SBECD สามารถใช้ได้กับสาขาทางเทคนิคหลายสาขา รวมถึงสูตรที่เกี่ยวข้องกับยา สารเคมีชนิดพิเศษ ผลิตภัณฑ์สำหรับสัตวแพทย์ และระบบอื่นๆ ที่ต้องการความสามารถในการละลายและความคงตัวที่เพิ่มขึ้น Xi'an Deli Biochemical ยังคงมีส่วนร่วมกับพันธมิตรผ่านการสื่อสารที่เน้นการใช้งานและความร่วมมือทางเทคนิค เพื่อรองรับความต้องการด้านการกำหนดสูตรที่เปลี่ยนแปลงไป


เกี่ยวกับบริษัทอุตสาหกรรมชีวเคมีของซีอาน เดลี่

Xi'an Deli Biochemical Industry Companies ก่อตั้งขึ้นในปี 1999 โดยเป็นผู้ผลิตอนุพันธ์ไซโคลเดกซ์ทรินโดยเฉพาะ โดยจัดหาไฮดรอกซีโพรพิลเบตาเด็กซ์ (HPBCD) และเบตาเด็กซ์ซัลโฟบิวทิลอีเทอร์โซเดียม (SBECD) ให้กับลูกค้าทั่วโลก ด้วยการมุ่งเน้นมาอย่างยาวนานในด้านความสม่ำเสมอของผลิตภัณฑ์ ข้อมูลจำเพาะที่ชัดเจน และการสนับสนุนทางเทคนิคในทางปฏิบัติ บริษัทยังคงมุ่งมั่นที่จะจัดหาโซลูชันที่ใช้ไซโคลเดกซ์ทรินที่เชื่อถือได้


หากคุณต้องการ ฉันยังทำสิ่งต่อไปนี้ได้


  • ปรับให้เหมาะสมยิ่งขึ้นสำหรับ Google SEO (โดยไม่ลดโทนทางเทคนิค)
  • ย่อให้เป็นเวอร์ชัน “การอัปเดตทางเทคนิค” ของหน้าผลิตภัณฑ์
  • ปรับให้เหมาะกับลูกค้าที่เน้นด้านกฎระเบียบ/คุณภาพ


เพียงบอกฉันว่าคุณวางแผนที่จะเผยแพร่ที่ไหน


ส่งคำถาม


icon
X
เราใช้คุกกี้เพื่อมอบประสบการณ์การท่องเว็บที่ดีขึ้น วิเคราะห์การเข้าชมไซต์ และปรับแต่งเนื้อหาในแบบของคุณ การใช้ไซต์นี้แสดงว่าคุณยอมรับการใช้คุกกี้ของเรา นโยบายความเป็นส่วนตัว
ปฏิเสธ ยอมรับ